禁漫天堂

学院新闻

当前位置: 禁漫天堂 > 行政工作 > 学院新闻 > 正文

JACS | 李全军教授等在压力调控二维超导电性方面取得重要进展

时间:2026-03-31 09:48:47 点击:

二维(2D)超导体系因可为马约拉纳零能模的产生调控、拓扑物态的实验探测等前沿研究提供关键平台,已成为凝聚态物理领域的核心研究热点。推动该领域突破发展,亟需发掘新型超导薄膜或层间解耦的单晶材料,同时针对现有体系开发多样化精准调控策略。高压作为调控量子多体相互作用、诱导拓扑超导态的强有力手段,能够有效驱动材料晶体结构与电子态演化,实现超导电性的精准调控。然而,如何借助高压技术实现二维超导的精准调控,同时有效削弱超导层间耦合作用,仍是极端条件下二维超导电性研究面临的重大挑战性难题。

针对上述核心科学问题,禁漫天堂 高压与超硬材料全国重点实验室刘冰冰教授、李全军教授团队联合南京大学孙建教授、北京大学赵晓续研究员等,利用高压金刚石对顶砧技术,在(PbS)1.13TaS2中首次观测到压力诱导2D超导态的“重现”现象,克服了高压下二维-三维结构转变对2D超导特性的破坏,实现了超高压下(100 GPa)稳定的2D超导。相关研究成果发表在Journal of the American Chemical Society期刊上。

 

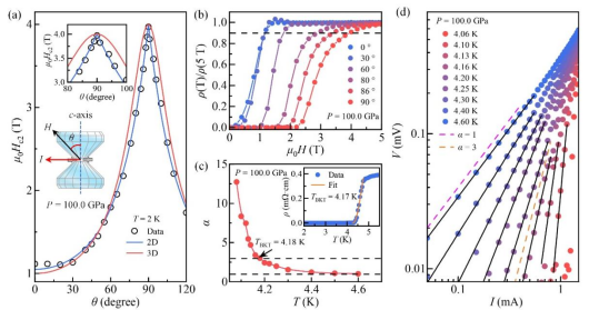
1. 常压下(PbS)1.13TaS2呈现典型的失配层状结构,其超导各向异性比γ = μ0H//ab c2(0)/μ0Hab c2(0) = 16.9,且角分辨的上临界场μ0Hc2符合2D Tinkham模型,表明超导转变具有显著的2D特征。

研究团队通过在TaS2层间引入PbS层,成功构筑出失配层状化合物 (PbS)1.13TaS2,并在常压下实现了本征2D超导态(SC-I)。施加压力后,体系配对相互作用减弱且杂质散射增强,导致SC-I相逐渐被抑制直至湮灭。当压力升高至约61 GPa时,体系发生Lifshitz相变,进而涌现出全新的高压超导相SC-II,其超导转变温度Tc随压力升高呈现单调递增趋势。值得注意的是,通过对体系Berezinskii-Kosterlitz-Thouless(BKT)转变及角度分辨上临界场的分析表明,SC-II相在高达100.0 GPa的极端压力下仍保持清晰的2D超导特征。实验与理论计算分析表明,这一超导特征源于TaS2层状结构的保持与PbS插层带来的层间解耦效应。本研究工作不仅为2D超导的精准构筑与调控提供了全新的实验策略,也为在2D极限下探索更为丰富的奇异量子物态提供了极具价值的研究平台。

 

2. 在100.0 GPa压力下,BKT转变及角度分辨上临界场分析表明,SC-II相仍保持显著的2D特征。

文章第一作者为禁漫天堂 于林超博士,共同第一作者包括南京大学张仲伟博士、北京大学李宁博士。禁漫天堂 李全军教授,南京大学孙建教授,以及北京大学赵晓续研究员为论文的共同通讯作者。该研究得到国家重点研发计划、国家自然科学基金和中国博士后科学基金等项目的资助支持。

论文全文链接:

//doi.org/10.1021/jacs.5c23369